web
You’re offline. This is a read only version of the page.
close
Skip to main content
Community site session details

Community site session details

Session Id :
Dynamics 365 Community / Blogs / Dynamics NAVAX / Business Operation Framewor...

Business Operation Framework (BOF) [AX 2012]

Munib Profile Picture Munib 2,500

The Business Operation Framework (BOF) lets you run services on Microsoft Dynamics AX using the Windows Communication Foundation (WCF) framework. The BOF uses an MVC programming pattern.

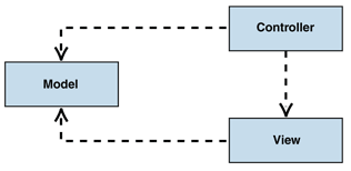
What is a Model View Controller (MVC) Framework?
MVC is a framework methodology that divides an application's implementation into three component roles: models, views, and controllers.


  • Model: The model manages the behavior and data of the application domain, responds to requests for information about its state (usually from the view), and responds to instructions to change state (usually from the controller).
  • View: The view manages the display of information.
  • Controller: The controller interprets the mouse and keyboard inputs from the user, informing the model and/or the view to change as appropriate.




Features of the Business Operation Framework

  • Allows menu-driven execution or batch execution of services.
  • Calls services in synchronous or asynchronous mode.
  • Automatically creates a customizable UI based on the data contract.
  • Encapsulates code to operate on the appropriate tier (prompting on the client tier, and business logic on the server tier).


Building blocks Business Operation Framework
Lets work by example. Standard doesnt have a great deal of examples but I found one that is clean to read.
Lets look at the SalesQuotationMassCreate function.


  • class SalesQuotationMassCreate extends SysOperationServiceBase
    • Main operation/process that runs in WCF. Takes the Contract as a parameter and does its operation.
  • class SalesQuotationMassCreateContract implements SysOperationValidatable
    • Contains the parm methods and validation. This is the object that is passed to the main operation class.
  • class SalesQuotationMassCreateController extends SysOperationServiceController
    • Entry point to initialize the query
  • class SalesQuotationMassCreateUIBuilder extends SysOperationAutomaticUIBuilder
    • This class is not required but used for overriding dialog behavior. eg. You can enable/disable fields dynamically.


Some advantages

  • Runs faster
  • Clean separation of of processing code, the model and the UI.
  • Can expose main operation as a web service
  • Consistent with programming language when developing SSRS reports, AIF web services, or batch jobs

Reference:
http://en.wikipedia.org/wiki/Model-view-controller
http://msdn.microsoft.com/en-us/library/ff649643.aspx
http://msdn.microsoft.com/en-us/library/gg862488.aspx


This was originally posted here.

Comments

*This post is locked for comments